馃搶 C贸digo en Java (con comentarios numerados):
public void verificarVelocidad(int velocidad, int limite) { // 1
System.out.println("Iniciando verificaci贸n..."); // 2
int exceso = velocidad - limite; // 3
System.out.println("El exceso de velocidad es de " + exceso + " km/h"); // 4
System.out.println("Verificaci贸n completada."); // 5
} // 6
馃搶 Grafo:
o

馃摑 Complejidad ciclom谩tica:
(V(G) = 1) (un solo camino)
if馃搶 C贸digo en Java (con comentarios numerados):
public void verificarVelocidad(int velocidad, int limite) { // 1
System.out.println("Iniciando verificaci贸n..."); // 2
if (velocidad > limite) { // 3
System.out.println("Exceso de velocidad detectado."); // 4
} // 5
System.out.println("Verificaci贸n completada."); // 6
} // 7
馃搶 Grafo:
o 
馃摑 Complejidad ciclom谩tica:
(V(G) = 2) (dos caminos posibles)
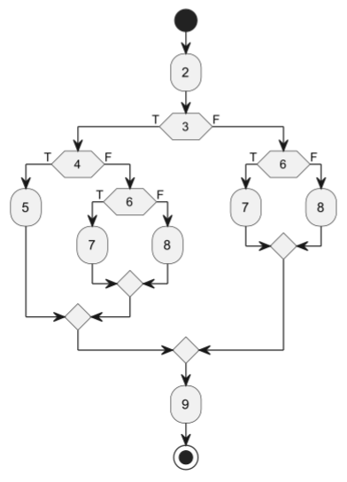
if con m煤ltiples condiciones馃搶 C贸digo en Java (con comentarios numerados):
public void verificarVelocidad(int velocidad, int limite, boolean esZonaEscolar) { // 1
System.out.println("Iniciando verificaci贸n..."); // 2
if (velocidad > limite && esZonaEscolar) { // (3 vel - 4 esZona)
System.out.println("Multa grave: Exceso de velocidad en zona escolar."); // 5
} else if (velocidad > limite) { // 6
System.out.println("Multa leve: Exceso de velocidad."); // 7
} else {
System.out.println("Velocidad dentro del l铆mite."); // 8
}
System.out.println("Verificaci贸n completada."); // 9
}
馃搶 Grafo:

馃摑 Complejidad ciclom谩tica:
(V(G) = 5) (cinco caminos posibles)
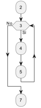
while馃搶 C贸digo en Java (con comentarios numerados):
public void reducirVelocidad(int velocidad) { // 1
System.out.println("Reduciendo velocidad..."); // 2
while (velocidad > 0) { // 3
System.out.println("Velocidad actual: " + velocidad); // 4
velocidad -= 10; // 5
} // 6
System.out.println("El veh铆culo se ha detenido."); // 7
} // 8
馃搶 Grafo:
o 
馃摑 Complejidad ciclom谩tica:
(V(G) = 2) (dos caminos)
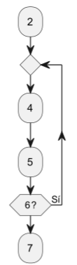
do while馃搶 C贸digo en Java (con comentarios numerados):
public void contarHasta(int max) { // 1
int i = 1; // 2
do { // 3
System.out.println("Contando: " + i); // 4
i++; // 5
} while (i <= max); // 6
System.out.println("Conteo finalizado."); // 7
} // 8
馃搶 Grafo:

馃摑 Complejidad ciclom谩tica:
(V(G) = 2) (el bucle siempre se ejecuta al menos una vez)
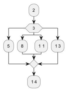
switch-case馃搶 C贸digo en Java (con comentarios numerados):
public void mostrarMensaje(int codigo) { // 1
switch (codigo) { // 2
case 1: // 3
System.out.println("Advertencia: Revisa tu velocidad."); // 4
break; // 5
case 2: // 6
System.out.println("Multa: Exceso de velocidad."); // 7
break; // 8
case 3: // 9
System.out.println("Suspensi贸n de licencia."); // 10
break; // 11
default: // 12
System.out.println("C贸digo inv谩lido."); // 13
}
System.out.println("Adi贸s!");// 14
} // 15
馃搶 Grafo:

馃摑 Complejidad ciclom谩tica:
(V(G) = 4) (cuatro caminos posibles)